II型糖尿病藥物:坎格列嗪連續合成工藝分享
坎格列嗪[1],又名卡格列凈,化學名:(1S)-1,5-脫氫-1-{3-[(5-(4-氟苯基)-2- 噻吩基)甲基]-4-甲基苯基}-D-葡萄糖醇。坎格列嗪為新型SGLT-2抑制劑[2],用于治療II型糖尿病的成年患者。由日本田邊三菱制藥與強生制藥聯合開發,于2013年3月29日,獲得FDA批準上市,用于改善II型糖尿病成人患者的血糖控制,該產品也是FDA批準的首個SGLT-2抑制劑,并于同年11月25日,獲歐盟委員會(EC)批準上市。SGLT是一種葡萄糖轉運蛋白,有兩種亞型即SGLT-1和SGLT-2,分別分布于小腸粘膜和腎小管,能夠將葡萄糖轉運進血液。坎格列嗪能抑制SGLT-2,使腎小管中的葡萄糖不能順利重吸收進入血液而隨尿液排出,從而降低血糖濃度。
圖1坎格列嗪
目前專利報道的坎格列嗪的合成方法主要有以下幾種:
路線1為坎格列嗪化合物專利[3](申請號:CN200480022007.8)中描述的方法,具體路線如下所示:
圖2 坎格列嗪合成路線1
該路線以2-(4-氟苯基)-5-[(5-溴-2-甲基苯基)甲基噻吩1和三甲基硅基保護的葡萄糖酸內酯2為起始原材料,首先化合物1在丁基鋰作用下發生鋰鹵交換,隨后對葡萄糖酸內酯進攻發生縮合反應,隨后在甲磺酸催化作用下醚化,然后脫除三甲基硅保護基得到化合物3;最后化合物3在三乙基氫硅烷和三氟化硼乙醚條件下還原脫除甲氧基得到坎格列嗪。該路線簡潔高效,經三步操作即可制備坎格列嗪,但是由于正丁基鋰使用,需要低溫(-67℃~-78℃)氮氣保護操作,對設備等條件要求嚴格,不易操作,且正丁基鋰具有爆炸危險性,工藝使用量大,增大了危險系數。
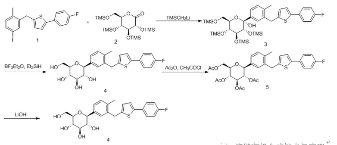
路線2為制備專利CN200880106239.X[4]中描述的方法,具體合成方法如下所示:
圖3 坎格列嗪合成路線2
該路線以2-(4-氟苯基)-5-[(5-碘-2-甲基苯基)甲基噻吩1和三甲基硅基保護的葡萄糖酸內酯2為起始原材料,首先化合物1在三甲基硅基甲基鋰作用下發生鋰鹵交換,隨后對葡萄糖酸內酯進攻發生縮合得到化合物3;而后在三乙基氫硅烷和三氟化硼乙醚絡合物作用下還原脫除羥基得到坎格列嗪粗品;再經過乙酰基保護和脫保護步驟得到純的產品坎格列嗪。該路線優點是選用更活潑的原材料化合物1以及更溫和的三甲基硅基甲基鋰做鋰化試劑,將反應溫度升高至-40℃,,并且采用乙酰基保護和脫保護對產品進行純化。但是該路線實驗條件仍需要低溫,操作比較苛刻,另外反應仍需大量烷基鋰試劑,具有較大的危險性。
路線3為制備專利申請CN200980151648.6[5]中描述的方法,具體合成方法如下所示:
圖4 坎格列嗪合成路線3
該路線與路線2起始原材料相同,只是選用的試劑不同,該路線中首先將化合物1制備成相應的格氏試劑,然后進攻化合物2,通過格氏反應構筑骨架;然后在甲磺酸條件下甲醚化,脫三甲基硅基保護得到化合物3;化合物3再經乙酰基保護得到化合物4;然后在三乙基氫硅烷/三氟化硼乙醚條件下還原脫除甲氧基得到化合物5;最后化合物5在氫氧化鋰條件下水解得到坎格列嗪。該路線的優點是選用格氏反應構筑分子骨架,反應溫度為0℃,對溫度和設備要求也相應降低。另外反應中間體8易純化,可以有效控制中間體純度,易于產品純化。缺點是格氏試劑制備所需要的異丙基氯化鎂氯化鋰具有危險性,尤其是大規模工業生產中危險性越發明顯。
連續化工藝
在1L三口瓶中配制500ml 85g/L的主原料M1的甲苯/四氫呋喃混合溶液,以18ml/min的流速流入微反應器的A單元中,另外將濃度為2.2mol/L正丁基鋰以7ml/min的流速同時流入微反應器的A單元中,該鋰-鹵交換反應的停留時間為28秒,反應溫度控制在-30℃,待反應液流出微反應器的A單元后,將三甲基硅基保護的葡萄糖酸內酯M3料液以3ml/min的流速同時流入微反應器的B單元中,該反應單元的停留時間為23.3秒,該反應單元控制的反應溫度為-30℃。
在500ml三口瓶中加入300ml甲醇和100ml甲烷磺酸,攪拌混勻后降至室溫,待反應料液從微反應器的B單元中流出后,同時將甲烷磺酸的甲醇溶液以10ml/min的流速一起流入微反應器的C單元中,該反應單元的停留時間為15秒,控制該反應單元的溫度為0℃,待反應料液從C單元中流出后,同時分別將三氟化硼乙醚以5ml/min的流速、三乙基硅烷7ml/min的流速一起流入D單元中,該反應單元的停留時間為10秒,控制該反應單元的溫度為0℃,由該單元流出的料液加入到裝有300ml正庚烷的三口瓶中,攪拌析晶,在 0-5℃保溫5小時后,經抽濾得到坎格列嗪粗品。經液相檢測產品含量為98%,物料總收率為75%。
參考文獻:
[1]MengW.,J. Med.Chem., 2008, 2, 1145.
[2]Chao E C., Henry RR.,Drug Discovery., 2010, 9, 551.
[3]野村純弘;川西英治;植田喜一郎.,新穎化合物., CN200480022007.8.
[4]詹森藥業有限公司;田邊三菱制藥株式會社.,可用作SGLT抑制劑的化合物的制備方法.,CN200880106239.X.
[5]詹森藥業有限公司;田邊三菱制藥株式會社., 制備可用作SGLT抑制劑的化合物的制備方法., CN200980151648.6.
免責聲明:文章來源《 連續有機合成技術與應用》-微信公眾號,以傳播知識、有益學習和研究為宗旨。 轉載僅供參考學習及傳遞有用信息,版權歸原作者所有,如侵犯權益,請聯系刪除。
